JUAN ALEJANDRO VELASQUEZ DE LUQUE
EIVERTH STIVEN OBREGON
Un cuerpo adquiere un movimiento semiparabólico, cuando al lanzarlo horizontalmente desde cierta altura, describe una trayectoria semiparábolica. Cuando un cuerpo describe un movimiento semiparabólico, en él se están dando dos movimientos simultáneamente: un movimiento horizontal, que es rectilíneo uniforme y uno vertical en el que actúa la gravedad, llamado movimiento rectilíneo uniformemente acelerado
Formulas:Eje y Eje x1)Vy = Voy + gt 1) X = Xo + Vx * t2) h = ho + Voy + ½ gt^23) Vy^2 = Voy^2 + 2g h
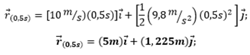
Desde el borde de una peña de 100m de altura se impulsa horizontalmente una piedra con una velocidad de 36km/h.
1
2) Un tubo se encuentra a 3m de altura del suelo e impulsa agua a una velocidad “V” determinada, se sabe que el agua cae a una distancia horizontal de 6m desde el extremo del tubo, según el gráfico dado:
2) La velocidad con la que impacta el agua en el piso:
si se duplica la velocidad con la se expulsa el agua. ¿Qué ocurre con el alcance máximo?
El movimiento parabólico es el movimiento de una partícula o cuerpo rígido describiendo su trayectoria una parábola. Por ejemplo, el balón de fútbol cuando es chutado por un jugador y cae al suelo es un movimiento parabólico.El movimiento parabólico se puede analizar como la unión de dos movimientos. Por un lado, la trayectoria en la proyección del eje de las x (el eje que va paralelo al suelo) describirá un movimiento rectilíneo uniforme. Por otro lado, la trayectoria de la partícula al elevarse o caer verticalmente (en proyección sobre el eje de las y) describirá un movimiento rectilíneo uniformemente acelerado, donde la aceleración es la gravedad.
Formulashmax= - Vy^2 / 2g h = Vyt + gt^2 / 2ts= -Vy / gtt = 2 (-Vy / g )
Un portero saca el balón desde el césped a una velocidad de 26 m/s. Si la pelota sale del suelo con un ángulo de 40° y cae sobre el campo sin que antes lo toque ningún jugador, calcular:Altura máxima del balón
Distancia desde el portero hasta el punto donde caerá en el campo
Tiempo en que la pelota estará en el aire
2) Un jugador de Fútbol Americano patea el balón con una velocidad de 30 m/s, y éste mismo lleva un ángulo de elevación de 48° respecto a la horizontal. Calcule; a) Altura, b) Alcance, c) Tiempo que permanece en el aire









